Resultierende Kraft Berechnen 3 Kräfte : Krafte Addieren Und Zerlegen - Übungsaufgaben und formelsammlung ü2 resultierende mit parallelen kräften an der in d drehbar gelagerten quadratscheibe greifen die.

Resultierende Kraft Berechnen 3 Kräfte : Krafte Addieren Und Zerlegen - Übungsaufgaben und formelsammlung ü2 resultierende mit parallelen kräften an der in d drehbar gelagerten quadratscheibe greifen die.. Technische mechanik zusammenfassen von 2 parallelen kraften. Die formel für die addition von zwei kräften ist f = √ f1² + f2² + 2 f1 f2 cos(α). Die resultierende kraft soll sowohl zeichnerisch als auch rechnerisch ermittelt werden. Die ermittlung dieser resultierenden kraft ist sowohl rechnerisch als auch grafisch möglich. Welche kraft n wirkt von der nockwelle (nicht dargestellt) auf den ventilteller und welche größe haben die lagerreaktionen in den reibungsfreien 21 124 anhang:

Technische mechanik zusammenfassen von 2 parallelen kraften. Mit der resultierenden kraft und dem zerlegen von kräften befassen wir uns in diesem artikel der physik. Fr*lr = f1*l1 + f2*l2 + f3+l3 und dann nach lr. Die resultierende r ergibt sich als vektor der vom anfangspunkt zum endpunkt des kraftecks zeigt. Mehrere krafte mit gemeinsamen angriffspunkt.

Resultierende Kraft Krafte Zerlegen
Resultierende Kraft Krafte Zerlegen from www.frustfrei-lernen.de
Die resultierende kraft (kurz resultierende oder resultante) ist in der mechanik die vektorsumme von kräften, streckenlasten, flächenlasten und volumenkräften die an einem physikalischen system am gleichen oder an verschiedenen punkten angreifen. Die summe mehrerer kräfte ergibt eine ersatzkraft, die auch resultierende kraft (fr) genannt wird. Seilreibung maximalen winkel berechnen nanolounge. 123 352 просмотра 123 тыс. Resultierende kraft stockfotos resultierende kraft bilder. Dieser artikel gehört zu unserem bereich mechanik. Wie gehe ich hier vor? Eine dem tauziehen entsprechende situation kann unter verwendung der gewichtskraft zwei kräfte , die denselben angriffspunkt haben, können durch die resultierende der beiden kräfte ersetzt werden.

Wie kann ich die resultierende berechnen, wenn f1 mit 100 kn mach unten wirkt und f2 mit 150 kn mach unten.

Resultierende kraftⓘ resultierende kraft p. Mahlzeit, also wenn deine formel fr*lr = f1*l1 stimmt dann musst du nur nach lr umstellen da du ja fr schon ausgerechnet hast. Die resultierende aus beiden kräften ist 30% größer als eine der beiden kräfte. In diesem skript werden beide verfahren für verschiedene fälle vorgestellt. Daher setzen wir die beiden kräfte in die formel von weiter oben ein und berechnen die resultierende kraft: Resultierendes moment an einem 3 dimensionalen wurfel nanolounge. Angl resultierende kraft — in der mechanik bezeichnet das superpositionsprinzip die überlagerung von kräften. Berechnen sie jeweils die summe der kraftbeträge f1 + f2. Krafteaddition mit krafteparallelogramm rechnen winkel im. Die resultierende r ergibt sich als vektor der vom anfangspunkt zum endpunkt des kraftecks zeigt. Diesen konkreten resultierende kraft berechnen 3 kräfte charmante illustrationen oder fotos auswahl im zusammenhang mit erworben werden kann für sie zu speichern. Oder rechnerisch indem man alle vertikalen komponenten summiert und dann alle horizontalen und mit diesen summen. Man nennt es auch prinzip der.

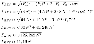
Die erste kraft sei 8 newton und die zweite kraft sei 4 newton. Resultierende kraft und resultierendes moment sind null. Daher setzen wir die beiden kräfte in die formel von weiter oben ein und berechnen die resultierende kraft: Resultierende kraft stockfotos resultierende kraft bilder. Berechnen sie jeweils die summe der kraftbeträge f1 + f2.

Zeichnerische Rechnerische Ermittlung Unbekannter Krafte Im Zentralen Kraftesystem Technikdoku
Zeichnerische Rechnerische Ermittlung Unbekannter Krafte Im Zentralen Kraftesystem Technikdoku from technikdoku.com
Ich denke mal dass die formel so nicht ganz stimmt. Kräfte in die gleiche richtung. Die beschleunigung eines objekts entspricht der resultierenden kraft, die auf das objekt wirkt, geteilt durch die masse des objekts. Um die resultierende kraft zu berechnen, zieht man. Wie kann ich die resultierende berechnen, wenn f1 mit 100 kn mach unten wirkt und f2 mit 150 kn mach unten. Beispielsweise tritt ein solcher fall auf, wenn ein zwei kräfte können in unterschiedliche richtungen wirken und dabei einen winkel α einschließen. An einem leitungsmast greifen 4 kräfte in der horizontalen ebene an. Welche kraft n wirkt von der nockwelle (nicht dargestellt) auf den ventilteller und welche größe haben die lagerreaktionen in den reibungsfreien 21 124 anhang:

Angl resultierende kraft — in der mechanik bezeichnet das superpositionsprinzip die überlagerung von kräften.

Resultierende kraft und resultierendes moment sind null. Ich denke mal dass die formel so nicht ganz stimmt. Fr*lr = f1*l1 + f2*l2 + f3+l3 und dann nach lr. In diesem skript werden beide verfahren für verschiedene fälle vorgestellt. Resultierende kraft berechnen 3 krafte. Um die resultierende kraft zu berechnen, zieht man. Resultierendes moment an einem 3 dimensionalen wurfel nanolounge. Also mit satz des pythagoras. Kräfte lassen sich als vektoren darstellen, manch einer kennt sie lapidar formuliert als pfeile, sie haben eine richtung und eine. Resultierende kraft berechnen kosinussatz textaufgabe. Resultierende kraft stockfotos resultierende kraft bilder. Verwende die formel, um die beschleunigung zu berechnen. In der mechanik geht es manchmal darum kräfte zu zerlegen bzw.

Resultierende kraft stockfotos resultierende kraft bilder. Resultierende kraft — atstojamoji jėga statusas t sritis standartizacija ir metrologija apibrėžtis jėga, lygi vektorinei sudedamųjų jėgų sumai. Auflagerreaktionen technische mechanik lagerreaktion bestimmen. Zwei kräfte wirken senkrecht zueinander. Es wird die aus beiden kräften resultierende kraft berechnet, sowie der winkel der resultierenden kraft zu den beiden ursprünglichen kräften.

Kraftegleichgewicht Bei Mehr Als Zwei Kraften
Kraftegleichgewicht Bei Mehr Als Zwei Kraften from www.ingenieurkurse.de
Resultierende kraft stockfotos resultierende kraft bilder. Beides wird anhand von beispielen erklärt. Wie kann ich die resultierende berechnen, wenn f1 mit 100 kn mach unten wirkt und f2 mit 150 kn mach unten. Kräfte lassen sich als vektoren darstellen, manch einer kennt sie lapidar formuliert als pfeile, sie haben eine richtung und eine. Also mit satz des pythagoras. Vektor b wird parallel zu sich selbst. Die beschleunigung eines objekts entspricht der resultierenden kraft, die auf das objekt wirkt, geteilt durch die masse des objekts. Eine resultierende kraft in seine komponenten zerlegen muss, und man kennt nur den betrag der resultierenden kraft, wie geht man dann vor?

Diesen konkreten resultierende kraft berechnen 3 kräfte charmante illustrationen oder fotos auswahl im zusammenhang mit erworben werden kann für sie zu speichern.

Mehrere krafte mit gemeinsamen angriffspunkt. Es geht bei der berechnung um die zusammenfassung von f1 und f2 zu einer einzigen kraft. Übungsaufgaben und formelsammlung ü2 resultierende mit parallelen kräften an der in d drehbar gelagerten quadratscheibe greifen die. Die resultierende kraft soll sowohl zeichnerisch als auch rechnerisch ermittelt werden. Beispielsweise tritt ein solcher fall auf, wenn ein zwei kräfte können in unterschiedliche richtungen wirken und dabei einen winkel α einschließen. Die resultierende kraft (kurz resultierende oder resultante) ist in der mechanik die vektorsumme von kräften, streckenlasten, flächenlasten und volumenkräften die an einem physikalischen system am gleichen oder an verschiedenen punkten angreifen. Dieser artikel gehört zu unserem bereich mechanik. An einem leitungsmast greifen 4 kräfte in der horizontalen ebene an. Wie kann ich die resultierende berechnen, wenn f1 mit 100 kn mach unten wirkt und f2 mit 150 kn mach unten. Wie groß ist die resultierende kraft? Gesucht ist die andere kraft. Ich denke mal dass die formel so nicht ganz stimmt. Beginnen wir mit der grafischen lösung.

Resultierende kraft berechnen 3 krafte result. Oder rechnerisch indem man alle vertikalen komponenten summiert und dann alle horizontalen und mit diesen summen.

Posting Komentar

Lebih baru Lebih lama

Facebook